Рассмотрим регулярный волновод, при условии, что в нем нет источников.
Далее, запишем уравнения Максвелла для комплексных амплитуд:
Вдоль оси z ничего не меняется и тогда мы предполагаем, что вдоль z распространяется плоская бегущая волна.
Выражения для векторов напряженности электрического и магнитного полей:
(h = const - продольное волновое число, которое определяется типом волны)
Подставим ожидаемые решения в уравнения Максвелла. Переходя к записи ротора в декартовой системе координат для двух предыдущих уравнений и, группируя соответствующие компоненты, получим следующие выражения:
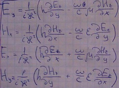
Из данных систем получим выражения, представляющие значения поперечных компонент электромагнитного поля через производные от продольных компонент (1.2<=>2.1; 1.1<=>2.2): 
В исходной задаче было 6(!) неизвестных волновых компонент, а благодаря приведенным выше упрощениям мы пришли к двум продольным неизвестным Ez и Hz.
Можно так же записать предыдущие выражения в более компактной, векторной форме:
Для нахождения продольных компонент воспользуемся волновым уравнением:
Нас интересуют только z компоненты, которые можно представить в виде:
Подставим ожидаемые решения в волновые уравнения в результате чего получим уравнение Гельмгольца:
Осталось найти граничные условия для Ez и Hz.
Будем рассматривать полые волноводы с идеально-проводящими стенками, при этом форму сечения не конкретизируем.
В результате получили две краевые задачи, которые независимы друг от друга, следовательно в волноводе существует два типа независимых волн.
1. ТМ (Е) - волны (поперечное магнит.)
2. ТЕ (Н) - волны (поперечное электрич.)
В мат. физике это две краевые задачи на собствненые функции и собственные значения. Такие æ, при которых существуют решения краевой задачи носят название собственных значений. Такие решения, которые получаются с помощью этих æ, называются собственными функциями.
В нашем случае, набор собственных чисел возрастающий. Рассмотрим такой бесконечный набор:
При этом поперечные и продольные составляющие волнового числа связаны дисперсионным уравнением, которое получается из волнового уравнения: 
Подставляя продольное волновое число в уравнения полей:
Из данных зависимостей следует, что если продольное волновое число действительное, то волна распространяющаяся, а если мнимое, то волна экспоненциально убывающая. Следовательно, существует граница между этими типами волн.
При любой заданной частоте ω в волноводе с идеально проводящими стенками существует конечное число распространящихся волн и бесконечное число затухающих волн. Собственные функции, также называют модами волновода.
Введем несколько переменных
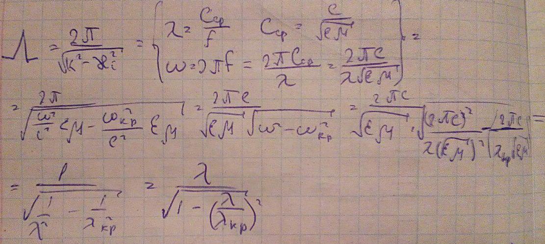
Длина волны в волноводе:
Критическая частота - частота, при которой волны в волноводе перестают быть распространяющимися:
Принято выражать длину волны в волноводе через длину волны в свободном пространстве и критическую длину волны данной моды:
Фазовая скорость волны в волноводе - скорость распространения фазового фронта волны.
В идеально проводящем волноводе фазовая скорость всегда больше фазовой скорости в свободном пространстве.
Групповая скорость- скорость переноса энергии и информации.
Чтобы определить характеристический импеданс ТЕ и ТМ волн необходимо воспользоваться граничным условием Леонтовича.
Характеристический импеданс имеет разные значения для ТЕ и ТМ волн.
1. ТЕ-волна. Следующие соотношения получаются из уравнений, связывающих поперечные компоненты полей с продольным и последующей подстановкой в них граничного условия Леонтовича.
2. ТМ-волна.
Теперь определим выражения для вектора Пойтинга который характеризует средний по времени поток энергии через единицу поверхности. 