Рассмотрим волновод, закороченный на конце.
Граничные условия и поля внутри данного волновода:
Используем формулы, представляющие поперечные компоненты полей через продольные.
Если мы используем равенство
и первые уравнения из двух скобок , то получим:
В конце концов и получаем такой результат:
Значит, для любого волновода закороченного с одной стороны, зная структуру любой моды бегущей волны, можно получить выражения для полей в резонаторе.
Поставим перегородку из идеального проводника в точках со следующими координатами, чтобы получить резонатор, и возьмем отрезок длины L:
В волноводе, который ограничен с двух сторон, продольное волновое число не произвольное, при этом волновое число равно:
Из данных выражений следует, что в такой системе могут существовать колебания в дискретном наборе частот, окторые называются резонансными или собственными.
У колебательного контура одна резонансная частота, а в резонаторе дискретный набор частот удовлетворяющий условию:
Рассмотрим прямоугольный резонатор с идеально-проводящими стенками и введем классификацию мод волновода TEnmp и TMnmp.
Найдем все поля для данной моды данного резонатора.
Выразим компоненты поля, зная выражение Ey для прямоугольного резонатора моды TE101

Для того, чтобы изобразить картины силовых линий главной моды резонатора, найдем мгновенные значения. Для этого запишем комплексный множитель и возьмем реальную часть от получившегося выражения
Сами картины силовых линий будут выглядеть следующим образом:
В качестве испытуемого будет использован предыдущим прямоугольный резонатор. Рассмотрим резонатор с потерями, но на тех же модах что и без потерь.
Затухания в таком резонаторе характеризуются мнимой частью комплексной частоты (декрементом затухания). Определим данную величину для прямоугольного резонатора.
Задача будет заключаться в том, чтобы найти рецепт по нахождению декремента затухания. Будет использоваться энергетический метод.
Запасенную энергию можно представить в виде суммы запасенных электрических и магнитных полей, т.е. запасенную энергию можно вычислить через комплексные амплитуды магнитного и электрического полей.
Выражение для запасенной энергии представим в виде:
При этом справедливы следующие выражения:
Исходя из формул приведенных выше, определим декремент затухания в резонаторе и увидим, что выражение совпадает с постоянной затухания для волновода, у которого стенки не идеально проводящие:
Потерянную мощность можно определить по формуле:
Определим декремент затухания для моды ТЕ101 резонатора с размерами a*b*c, у которого торцевые стенки не идеально проводящие с заданной проводимостью.
Для начала определим поля моды типа ТЕ101/
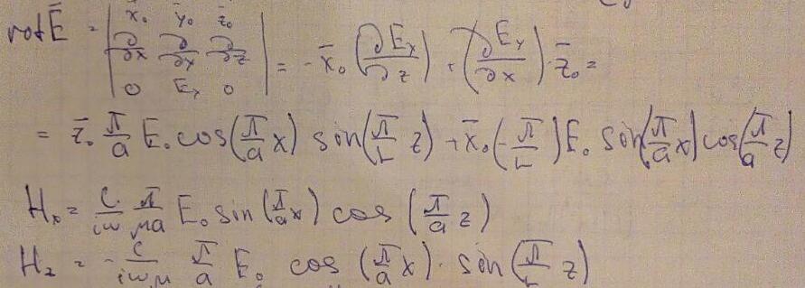
Запишем компоненту Еу для данной моды и вспомним закон Фарадея:
Запишем ротор электрического поля и определим компоненты магнитного поля:
Расчитаем запасенную энергию в данном резонаторе, а также, определим потерянную мощность, считая, что торцевые стенки не идеально проводящие:
В итоге, объединяя полученные выражения, проводим не самые сложные вычисления и получаем декремент затухания для прямоугольного резонатора: