Обратно
Граничные условия:
Найдём граничное условие для Hz:
Вывод: таким образом, задача об определении электромагнитного поля в волноводе сводится к нахождению решений двумерного волнового уравнения.
Эти 2 краевые задачи называются задачами на собственные числа и собственные функции.
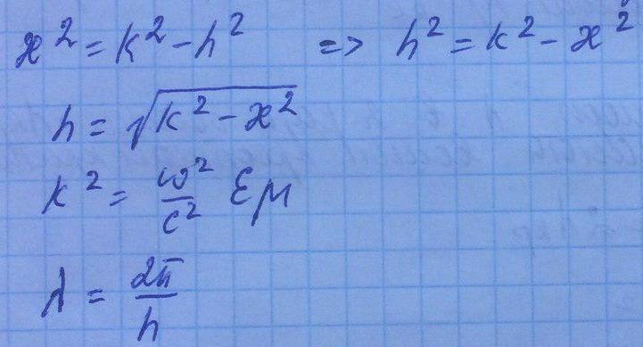
Если h действительное, то волна распространяющаяся, если мнимое - то спадающая.
При любой заданной w в волноводе с идеально проводящими стенками всегда существует конечное число распространяющихся и бесконечное нераспространяющихся волн.
Введём вспомогательные понятия и рассмотрим конкретный пример:

![]() |
Характеристический импеданс мод волновода имеет разный вид для ТЕ и ТМ-волн. Найдем их:
Вектор Пойнтинга и мощность, переносимая волноводом:




