| | Объёмные резонаторы, образованные отрезками линий передач. Понятие резонансных частот. Поля прямоугольного волновода для моды TE101. |
Объёмные резонаторы, образованные отрезками линий передач
Объёмный резона́тор — устройство, основанное на явлении резонанса, в котором вследствие граничных условий возможно существование на определенных длинах волн добротных колебаний в виде бегущей или стоячей волны.
Рассмотрим волновод, закороченный на конце.

Запишем граничные условия.

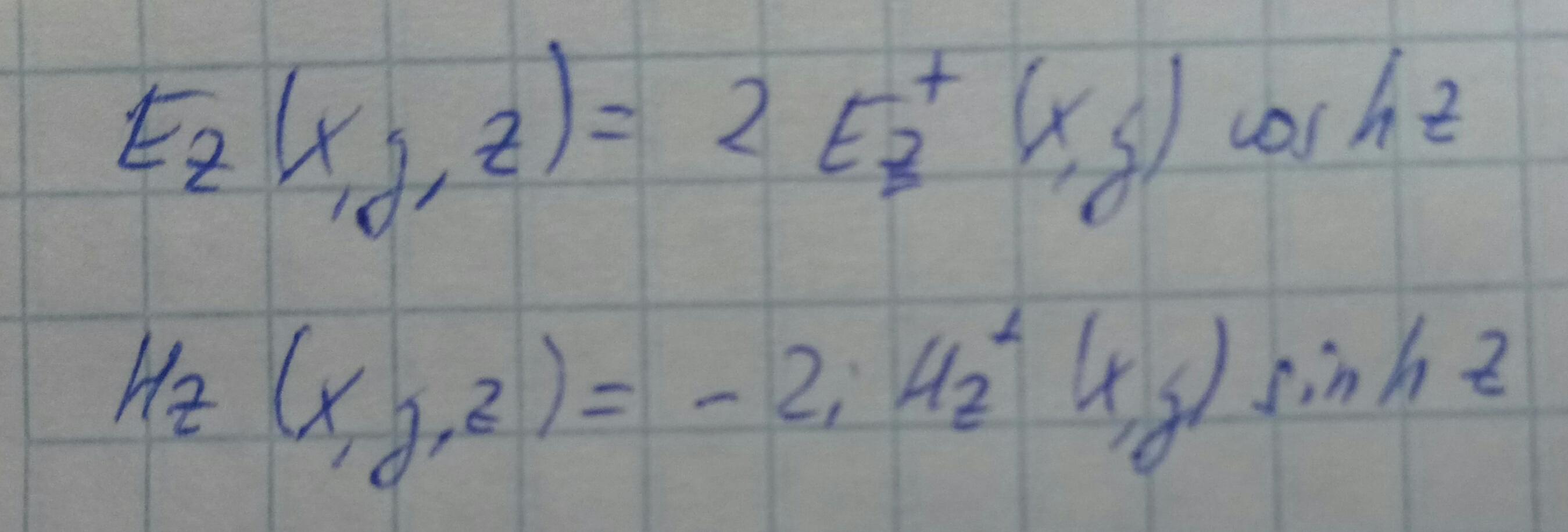
Поперечные компоненты поля будут иметь вид.

Используем формулы, представляющие поперечные компоненты полей через продольные.

Если мы используем равенство

и используем первые уравнения в системах, то надо, чтобы



Вторую перегородку из идеального проводника можно поставить в точки hz=p, p=1,2,3,4,...

В волноводе, который ограничен с двух сторон, h — не произвольное.
Из этого следует, что колебания в такой системе могут существовать в наборе дискретных значений частот, образованных отрезком линии передач. Эти частоты называются резонансными.

æ определяется только формой поперечногосечения.
Рассмотрим прямоугольный резонатор с идеально проводящими стенками

При таком соотношении главная мода данного резонатора, то есть мода имеющая минимальную собственную частоту - TE101, при этом:

Найдём все поля данного резонатора для моды ТЕ101. Выразим компоненты поля, зная выражение Ey для прямоугольного резонатора моды TE101 и воспользуемся уравнением Фарадея, с помощью которого выразим составляющие магнитного поля.


Картина силовых линий

Объёмные резонаторы также используются в радиоэлектронике. Они подобно коаксиальной резонансной линии представляет собой экранированную колебательную систему, в которой отсутствуют потери на излучение и нет внешнего поля, способного создать паразитные связи с другими цепями. Кроме того, в объемном резонаторе нет потерь в твердых диэлектриках и активное сопротивление стенок резонатора очень мало благодаря их большой поверхности. В результате всего этого, если от резонатора не отбирается энергия, то его качество может доходить до десятков тысяч. Удобно также то, что наружная поверхность объемного резонатора имеет нулевой потенциал и не несет на себе токов. Поэтому объемные резонаторы могут монтироваться без изоляции.
Существуют резонаторы, в которых явление резонанса имеет место в режиме бегущей волны
(подробнее по
ссылке).