Коаксиальная линия и её поля. |
Найдем поля в коаксиальном волноводе, с учетом того, что стенки идеально проводящие.
TEM-волна:
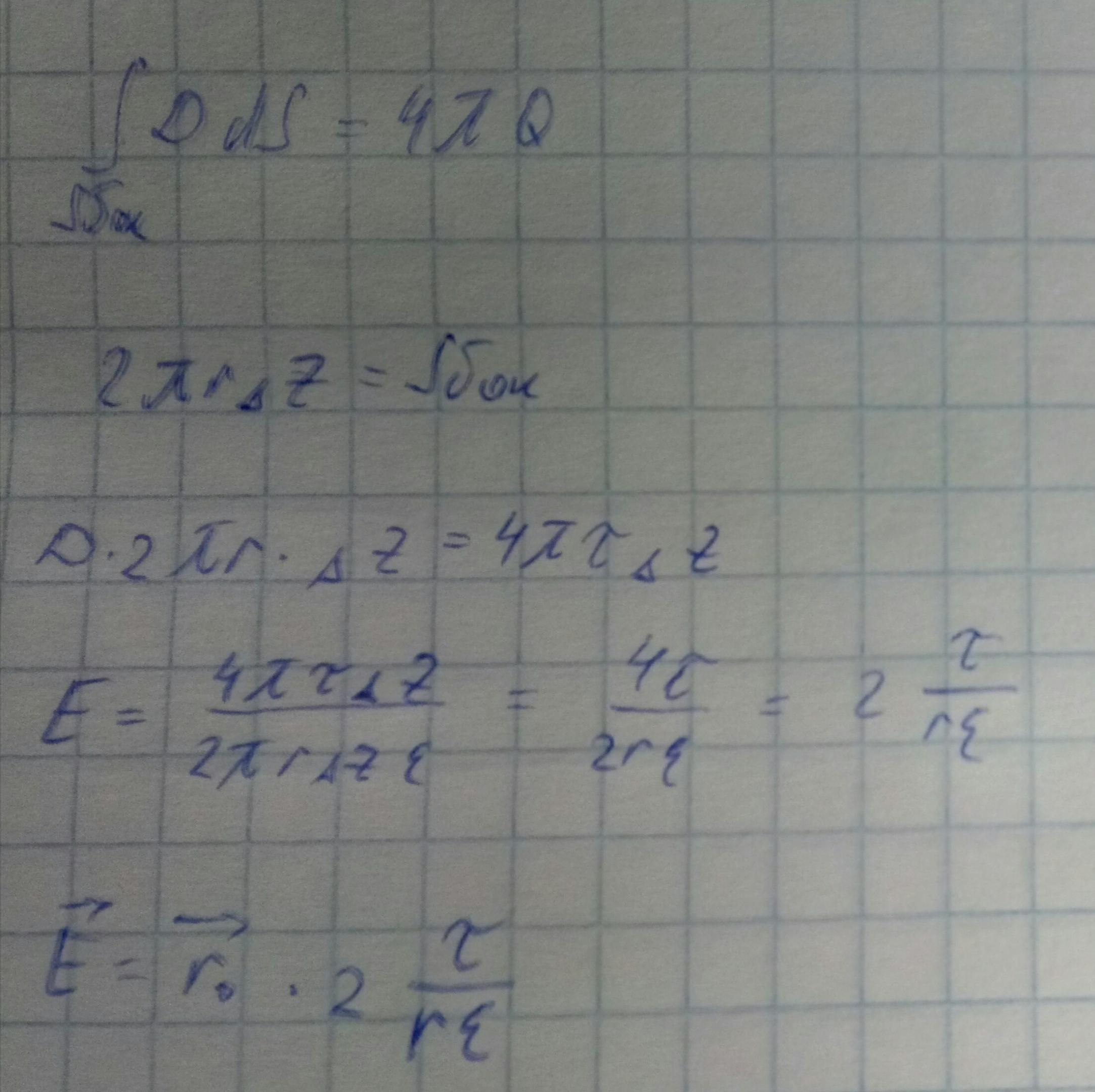
Ищем статическое электрическое поле, для этого воспользуемся теоремой Гаусса.


Интеграл по поверхности замкнутый, разбивается на 3: боковая поверхность и торцевые поверхности.
Интенрал по торцевым поверхностям 0, т.к. противоположнонаправлены.
Тогда:

