Оглавление 
 
Описание
Волновое сопротивление линии, формула пересчета импедансов. Характерные режимы работы длинной линии, сопротивление четвертьволнового трансформатора.

Рассмотрим телеграфное уравнение.


где знак "+" над множителем означает, что это волна, бегущая в положительном (+z) направлении, а знак "-" — что это волна, бегущая в отрицательном направлении (-z). 

Будем работать с волной, бегущей в +z направлении.

Zв — волновое сопротивление линии.

В бегущей волне величина имеет размерность импеданса. Отношение полей поперечного электрического поля к поперечному магнитному полю будет равно отношению полей в свободном пространстве.
 
Формула пересчёта импедансов

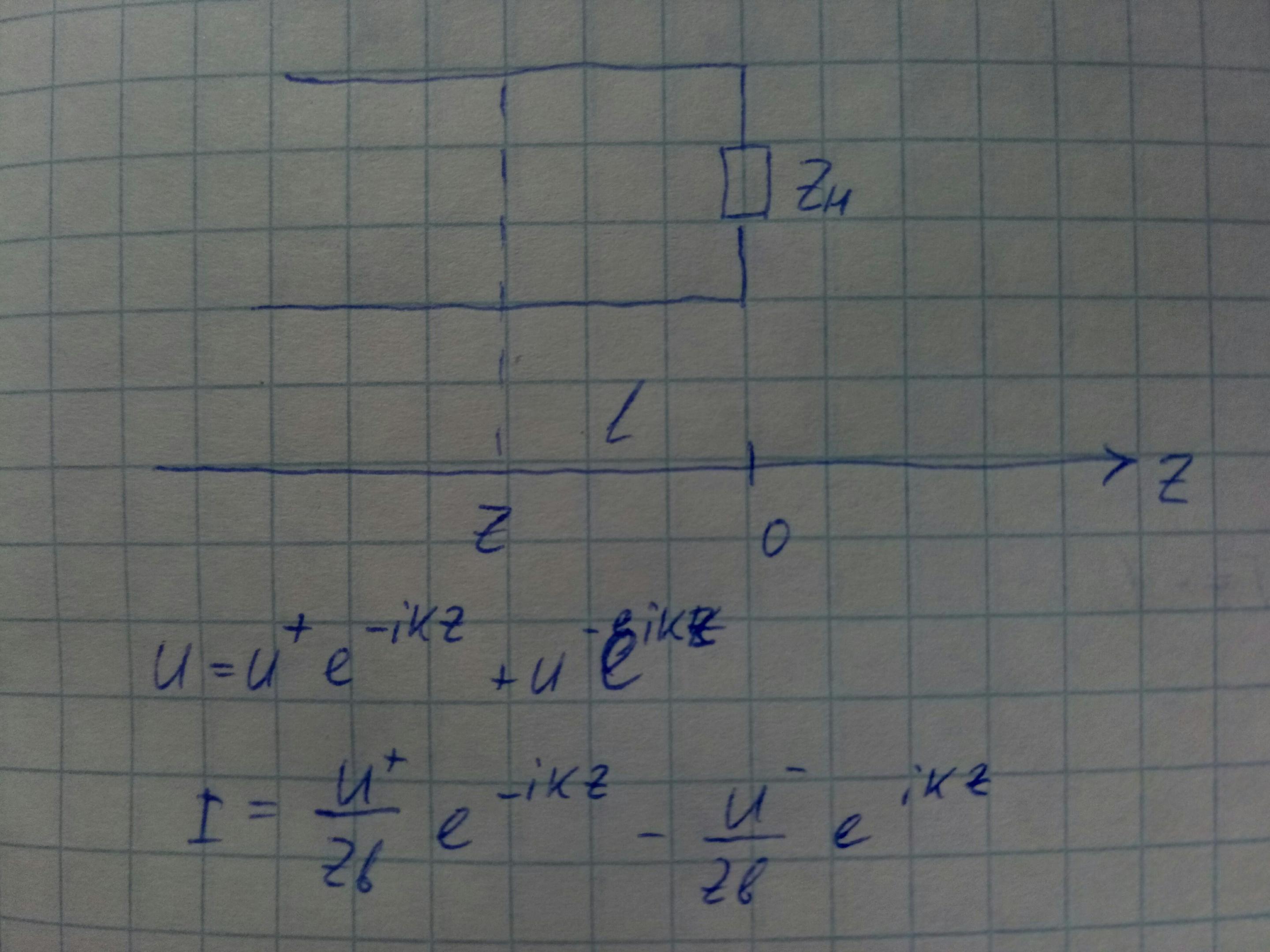
Рассмотрим коаксиальную линию, в которой распространяется TM-волна.


Введём вспомогательную величину: коэффициент отражения.


Введём импеданс в сечении:


Воспользуемся граничным условием.


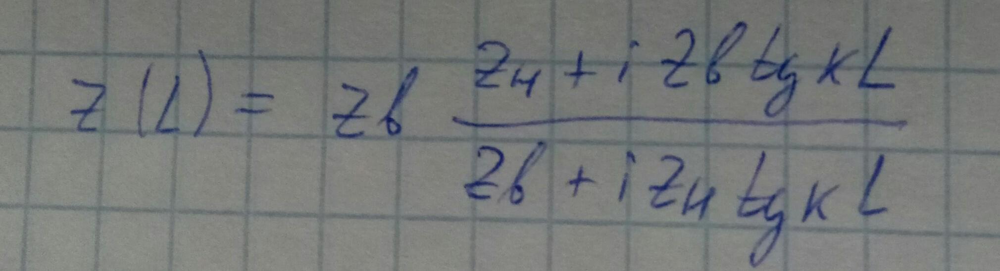
Чтобы найти Z в произвольном сечении, подставим Г в исходную формулу. Потребуются некоторые вычисления с экспонентой. Если это провести, то получим:


Получили формулу пересчёта импедансов.

Z=-L (L — длина отрезка).



Это импеданс линии на расстоянии L от конца нагрузки.

Характерные режимы работы длинной линии

Исследуются, когда Zн равен различным предельным случаям.

1. Режим согласования.

Режим бегущих волн возникает только в согласованно нагруженной линии, то есть когда сопротивление нагрузки линии Zн будет равно волновому сопротивлению линии Zе.

Режим, когда есть падающая и отражённая волна, называется режимом смешанных волн.

2. Режим короткого замыкания.

Стоячие волны в линии получаются при коротком замыкании линии, т.е. когда Zн=0. Отличие по сравнению с холостым ходом состоит в том, что узлы и пучности меняются местами.

Сечения, в которых амплитуда колебаний равна нулю, называются узлами, а сечения с максимальными значениями амплитуды – пучностями. 

Закороченная линия позволяет получать реактивный импеданс (Реактивное сопротивление - это мнимая часть импеданса (импедансом называется полное (комплексное) сопротивление цепи переменного тока), которая показывает меру противодействия синусоидальному переменному току). Если линия без потерь, то можно получать произвольный импеданс.


3. Режим холостого хода.

Режим стоячих волн возникает в том случае, когда сопротивление нагрузки линии Zн равно бесконечности (холостой ход).

 (подробнее о режимах работы линии передач: http://studopedia.ru/2_35079_rezhimi-raboti-linii.html)
 

Четвертьволновый трансформатор

 
Определение
Четвертьволновой трансформатор — отрезок СВЧ линии передачи, длина которой (с учётом её коэффициента укорочения) равна четверти длины волны, возбуждаемой в этой линии.




Найдём импеданс трансформатора.

 

Оглавление