Обратно
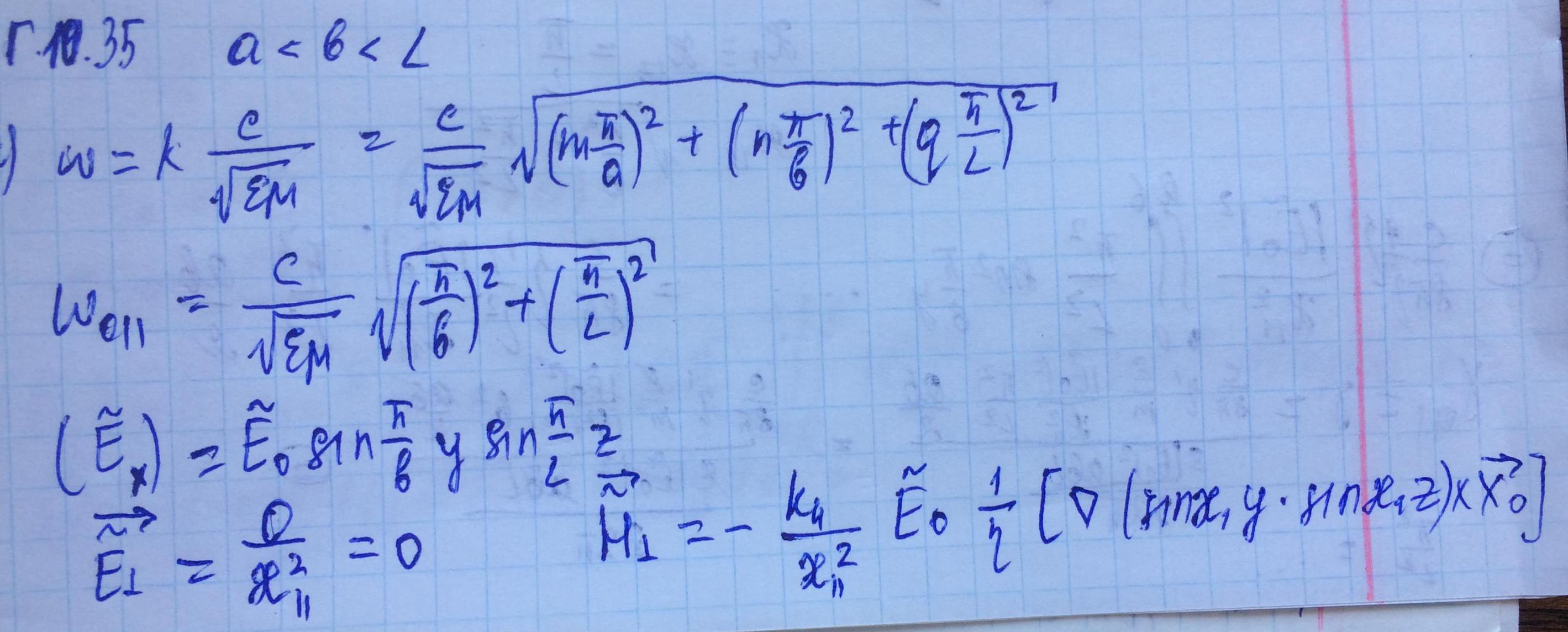
Рассмотрим прямоугольный резонатор с потерями, но на тех же модах что и без потерь.
Затухания в таком резонаторе характеризуются мнимой частью комплексной частоты (декрементом затухания).
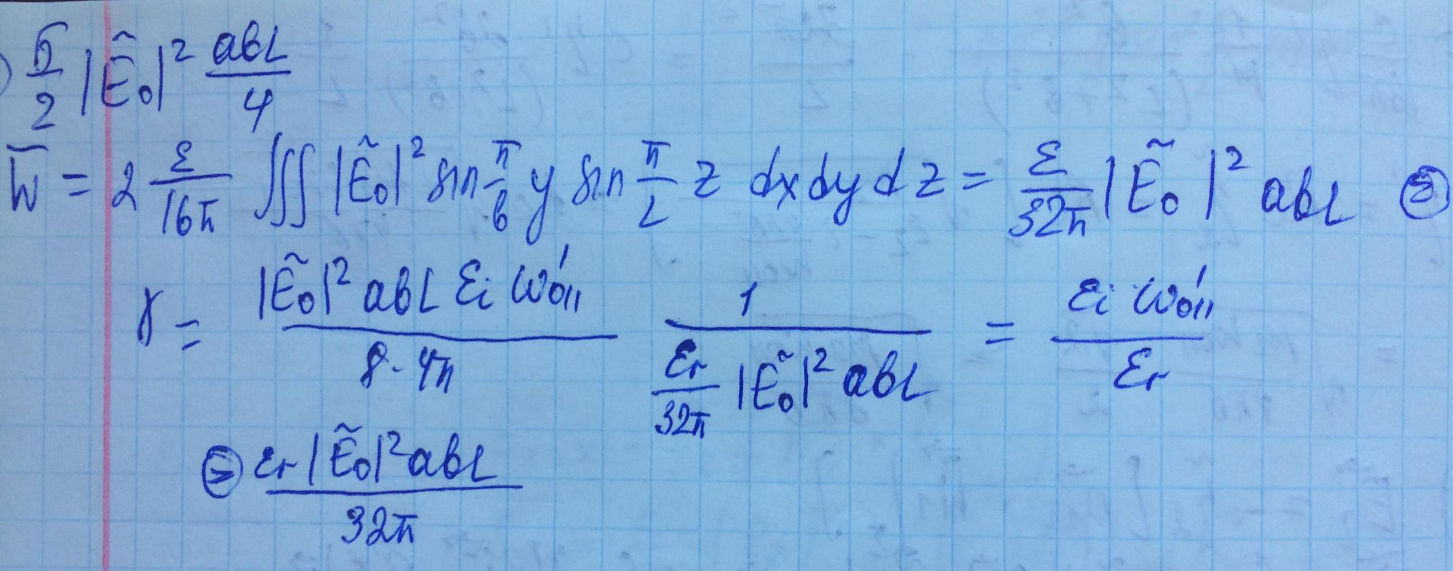
Задача: получить алгоритм нахождения w". Будем использовать энергетический метод.


Найдём w", при условии, что только верхняя стенка резонатора неидеальный проводник (ТЕ101):








