Решение задач

Обратно

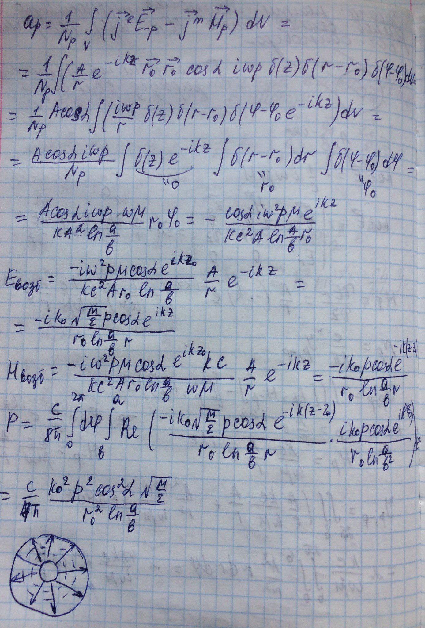
Найти мощность, переносимую возбужденной волной типа ТЕ10 через поперченое сечение волновода.