Предположим, что есть 2 точки: А и В
Перед нами стоят 2 задачи: передать информацию и энергию. Есть несколько подходов к решению к этих проблем.
1. Без инфраструктуры
В таком случае возникают другие излучения. Также происходит рассеивание энергии, с которым борются с помощью конструкции антенн. Из других недостатков примечательно требование высокой мощности, чтобы "греть" окружающее пространство.
2. Волноводная передача
Её преимуществом стало отсутствие рассеивания энергии, и пространтство при этом не "греется". Также при волноводной передаче сложней прослушать передаваемый материал и извергается меньше шума. Но есть и недостатки: это дорого и не мобильно.
Конструктивно волноводы подразделяются:

2. По порядку связности
3. По происхождению
4. По зависимости поперечного сечения от продольной координаты
В регулярном волноводе параметры могут меняться периодически (в данном курсе такой случай не рассматривается). Параметры: ε, μ и поперечное сечение.
Используем только комплексные амплитды и рассматриваем только гармонические во времени поля.
Рассмотрим регулярный волновод. Предположение регулярности позволяет получить формулы, для которых поперечные компоненты выражаются через продольные. Запишем уравнения Максвелла, источников пока нет. 
Переходим к записи роторов для электрической и магнитной напряжённостей в декартовой системе координат. 
Из двух систем получим выражения для поперечных компонент (по x,y) полей через производные от продольных компонент (по z). 
Запишем в векторном виде. 
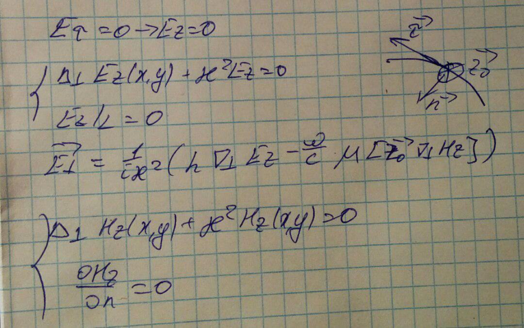
Запишем уравнение Гельмгольца для электрического и магнитного поля.

(здесь применяется свойство оператора Лапласа, подробнее о нём можно почитать в Википедии)
Добавим граничные условия
Будем рассматривать трубы с идеально проводящими стенками, сечение пока не конкретизируем.
Тангенциальные компоненты электрического поля на поверхности идеального проводника равны 0. 