
Рассмотрим прямоугольный волновод, при условии что он является регулярным и его стенки идеально проводящие. Значит вместо шести неизветных компонент поля имеем только две: Ez и Hz, при этом задача о нахождении полей волновода распадается на две независимые (краевые) задачи. Значит в даннов волноводе существует два типа волн: TE и TM.
Ранее было упомянуто, что в таком волноводе существвует конечное число распространяющихся волн и бесконечное число не распространяющихся волн.
Схематическое изображение прямоугольного волновода:
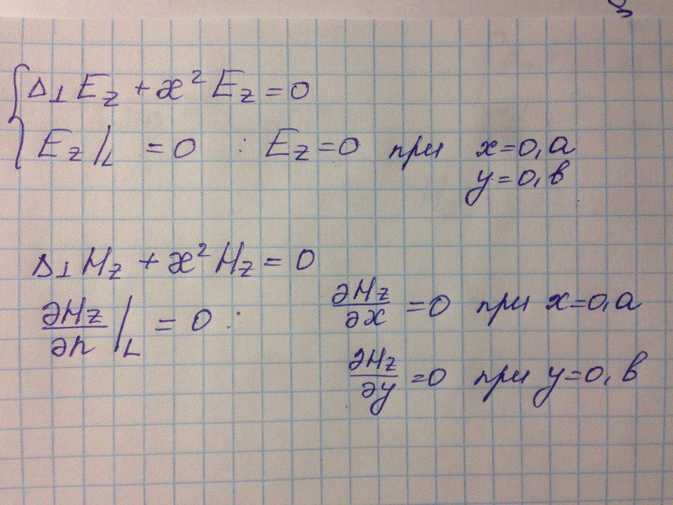
Рассмотрим две краевые задачи для данного волновода:
1. Изучим подробно первую краевую задачу для TM волны. Для ее решения воспользуемся методом разделения переменных и найдем необходимые константы. 

Из преведенных выше данных можно заметить, что значение компоненты Ez электрического поля в прямоугольном волноводе может принимать дискретный набор значений и зависит от двух натуральных значений n и m. Такая волна называется TMmn, при этом параметры m и n не могут обращаться в ноль.
Что бы перейти к реальным полям, надо перейти от комплексных амплитуд к мгновенным значениям. Для этого запишем комплексный множитель волны и воспользуемся формулой Эйлера.
2. Для ТE волны, решая аналогичным способом определим компоненту Hz данного поля.
Для TEnm либо n либо m могут обращаться в 0.
Определим, какая мода распространяется первой, тоесть имеет меньшую критическую частоту. Такой является мода TE10 - низшая мода волны для прямоугольного волновода. Данная мода преимущественно используется в волноводной технике.
При использовании волн в диапазоне между первой и второй критическими частотами, то в волноводе распространяется только одна мода и в этом режиме имеем предсказуемую структуру волновода.
Рассмотрим уравнения полей для моды TE10:
|
Термины и понятия (список) |
Главные мысли лекции (5-6 предложений) |
|
Прямоугольный волновод
Краевая задача для ТЕ
Краевая задача для ТМ
|
Прямоугольный волновод - регулярный волновод, имеющий в сечении прямоугольник.
Значение компоненты Ez электрического поля в прямоугольном волноводе может принимать дискретный набор значений и зависит от двух натуральных значений n и m. Такая волна называется TMmn, при этом параметры m и n не могут обращаться в ноль.
Что бы перейти к реальным полям, надо перейти от комплексных амплитуд к мгновенным значениям. Для этого запишем комплексный множитель волны и воспользуемся формулой Эйлера. |
1. Выучите материал лекции.
2. На чистом листе бумаги кратко изложите суть лекции.
3. Самостоятельно найдите компоненты Ez Hz.
4. Конечно ли число распространяющихся волн в нашем случае? Почему?.
5. Опишите различия между волнами ТЕ и ТМ типа.
6. Объясните зачем брать реальную часть при переходе к мгновенным значениям поля.
7. Нарисуйте график зависимости полей для моды ТЕ10 от координаты z.
8. Найдите поля для моды типа ТЕ11 или ТМ11.
9. Решите тест на тему лекции
10. Составьте свой тест.