
Что бы получить резонатор достаточно закоротить волновод с двух торцевых сторон.
Для начала рассмотрим волновод, закороченный с одной стороны.
Рассмотрим граничные условия при z=0 и поля внутри данного волновода:
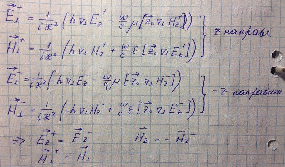
Используем формулы представляющие поперечные компоненты через продольные в двух направлениях:
Окончательно получим:
Значит для любого волновода закороченного с одной стороны, зная структуру любой моды бегущей волны, можно получить выражения для полей в резонаторе.
Поставим перегородку из идеального проводника в точках со следующими координатами, что бы получить резонатор:
Из данных выражений следует, что в такой системе могут существовать колебания в дикретном наборе частот, которые называются резонансными или собственными.
У колебательного контура одна резонасная частота, а в резонаторе дискретный набор частот
Рассмотрим прямоугольный резонатор с идеально проводящими стенками:
Можно ввести классификацию мод волн волновода ТЕnmp и ТМnmp.
При таком соотношении главная мода данного резонатора, то есть мода имеющая минимальную собственную частоту
Найдем все поля для данной моды данного резонатора.
Выразим компоненты поля, зная выражение Ey для прямоугольного резонатора моды TE101
Воспользуемся уравнением Фарадея, с помощью которого выразим составляющие магнитного поля:
Для того, что бы изобразить картины силовых линий главной моды резонатора, найдем мгновенные значения. Для этого запишем комплексный множитель и возьмем реальную часть от получившегося выражения:
Картины силовых линий будут выглядеть следующим образом:
Найдем запасённую энергию:
|
Термины и понятия (список) |
Главные мысли лекции (5-6 предложений) |
|
Резонатор
Силовая линия
Полная запасенная энергия в резонаторе
Мощность потерь в резонаторе
Декремент затухания
Резонансная частота
|
Резонатор - колебательная система, в которой происходит накопление энергии колебаний за счёт резонанса с вынуждающей силой. Обычно резонаторы обладают дискретным набором резонансных частот.
Потери могут быть из-за среды и ухода энергии в стенки.
Мощность потерь вычисляется так же как и в волноводе. То же касается и для силовых линий.
В резонаторе нет бегущих волн.
|
1. Выучите материал лекции.
2. Выпишите формулы, представляющие поперечные компоненты через продольные в двух направлениях.
3. Что нового вы узнали из этой лекции? Выпишите это.
4. Что нужно сделать с волноводом для получения резонатора?
5. Самостоятельно выведите формулы.
6. Решите задачу с использованием этих формул.
7. Что такое резонансные колебания?
8. Выпишите формулу для нахождения запасенной энергии.
9. Сделайте план-конспект лекции.
10. Сделайте выводы по изученному материалу.
11. Составьте свой тест.