






| Термины и понятия (список) | Главные мысли лекции (5-6 предложений) | Вопросы, возникшие по теме | Что непонятно? |
|
Мода
Краевая задача ТМ волны
ТЕ волны
Критическая частота
Длина волны в волноводе
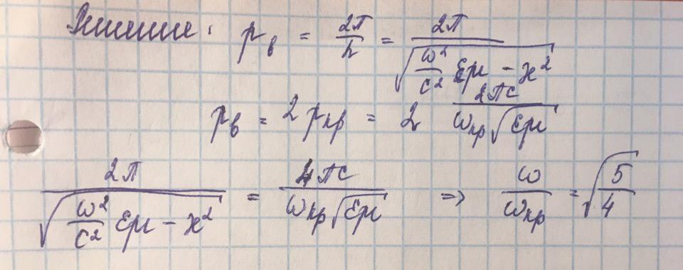
Фазовая скорость
Групповая скорость
|
Поставлена задача о структуре поля в виде двух систем краевых задач, состоящих из волновых уравнений и граничных условий.
ТМ(E) волна — волна с чисто поперечным магнитным полем.
ТE(H) волна — волна с чисто поперечным электрическим полем.
Рассматриваем волновод с идеально проводящими стенками. Это значит, что краевые задачи являются независимыми.
У любого волновода бесконечно много нераспространяющихся волн и конечное количество распространяющихся.
Распространяющаяся волна - мода волновода.
|
Вопросов нет.
|
Всё понятно. |
Подробнее о таксономии Б.Блума
1. Выучите материал лекции.
2. На чистом листе бумаги кратко перескажите лекцию.
3. Повторите, что вы усвоили про фазовую скорость.
4. Повторите, что вы усвоили про групповую скорость.
5. Опишите различия между волнами ТЕ и ТМ типа.
6. Решите тест на тему лекции.
7. Выведите формулы из данной лекции.