Практика.



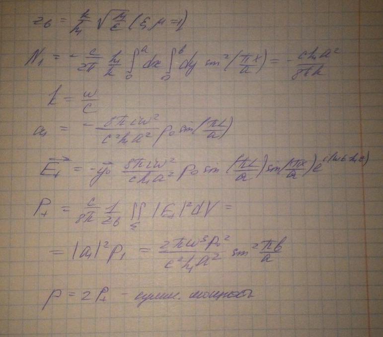
Решение:

 

 

Решение:

 

 

Решение:

 


 

Решение:




 


 

Решение:





 

Решение:



Решение:


Задачи по теме: объемные резонаторы








 

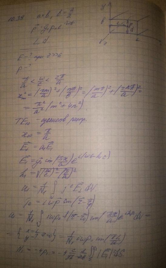
Задачи по теме: возбуждение волноводов










 

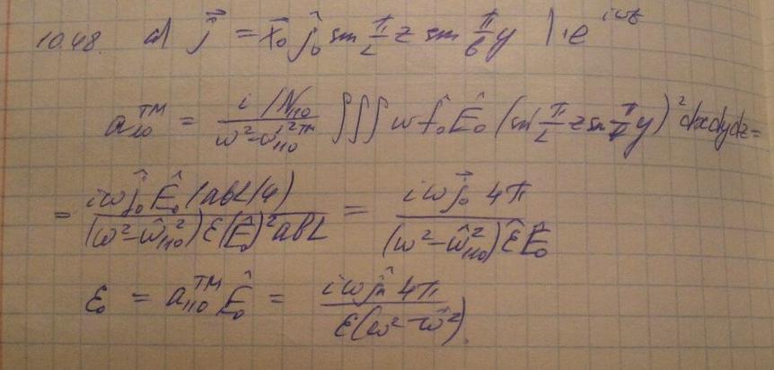
Задачи по теме: возбуждение резонаторов









Оглавление