Лекция 14,15,16. Решение задач на тему возбуждение волноводов заданными токами.

Выполнила Кокеева Н.С.

Задача 1: найти коэффициент возбуждения моды типа ТЕ10.


Применили уравнение непрерывности и дельта-функцию.

 
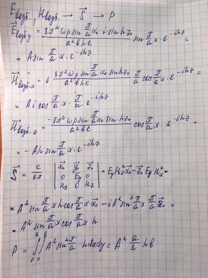
Задача 2. Найти среднюю мощность, переносимую вдоль оси Z.






 
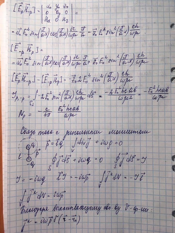
Задача 3: найти мощность потерь в стенках волновода.
В резонаторе могут быть одновременно вихревые и потенциальные поля.
Потенциальные поля - как в статике.




 

Тест