1. Двухпроводные линии

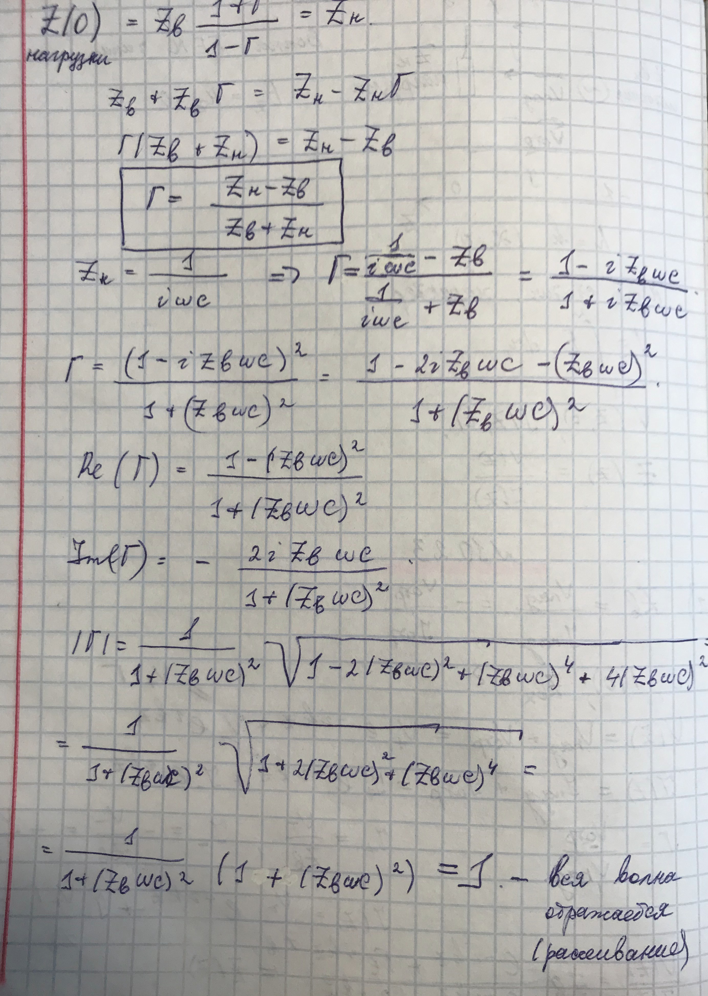
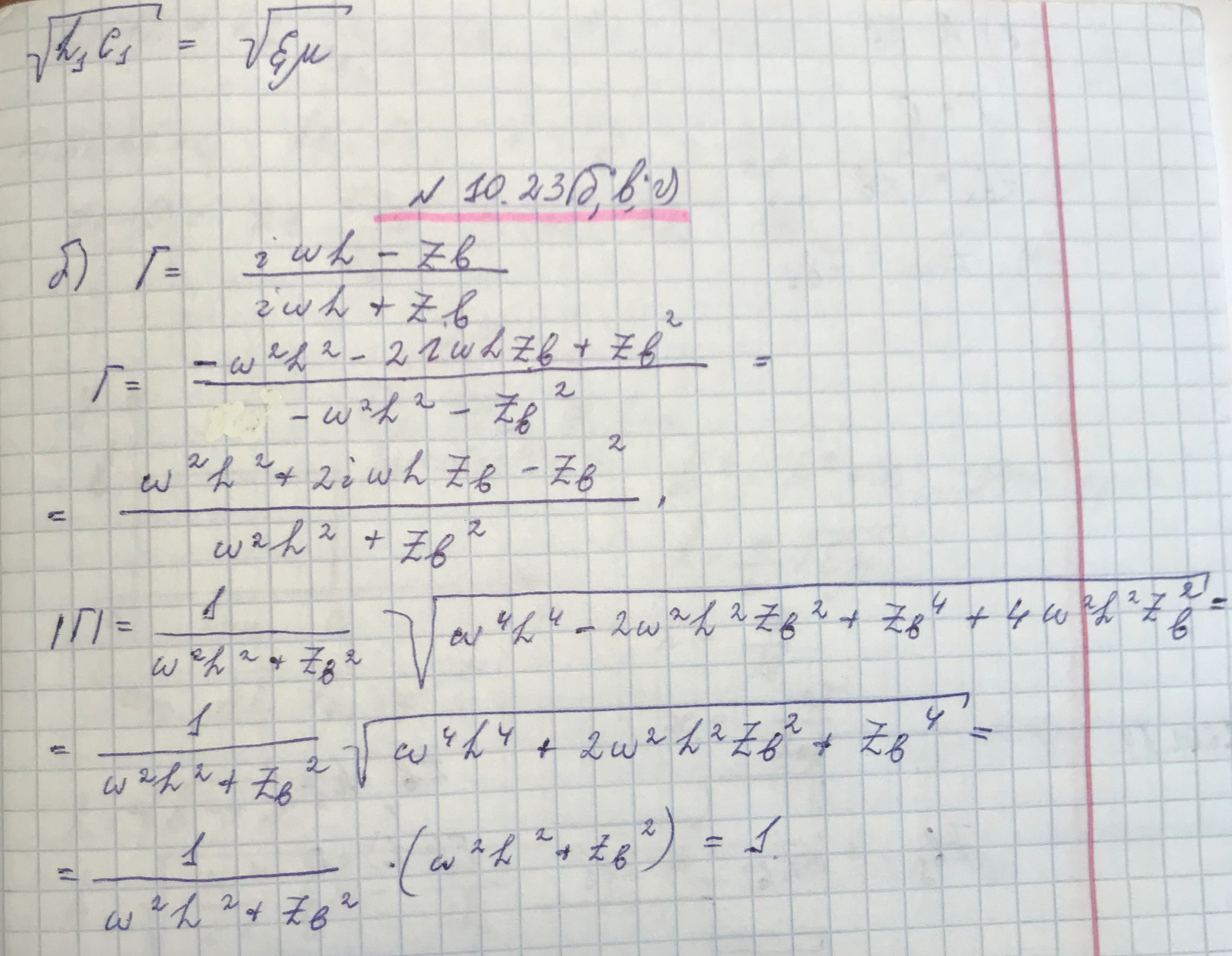
2. Характеристики линий передач

 

 

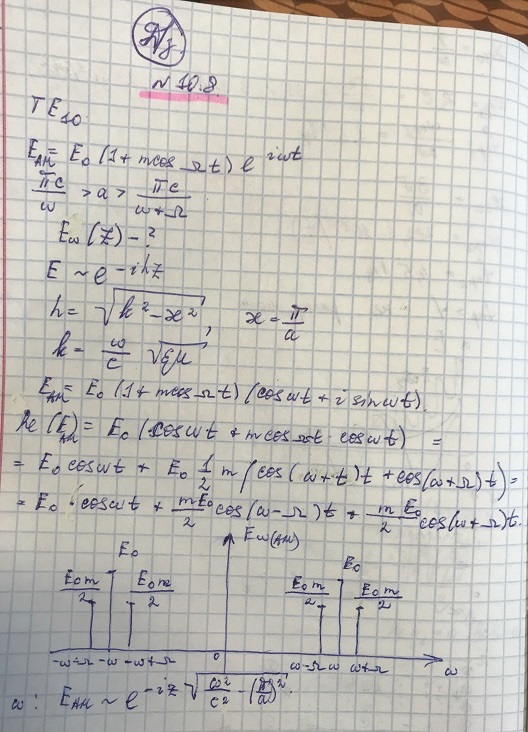
3. Распространение мод в волноводе.

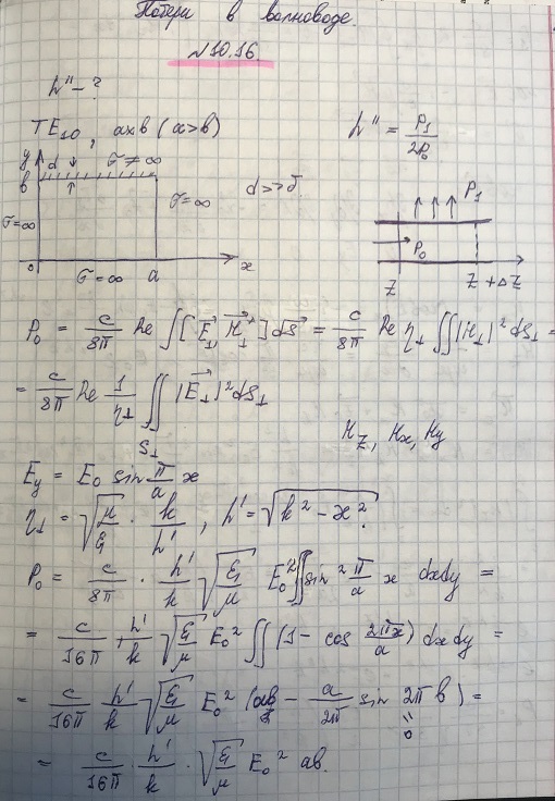
4. Потери в волноводе.

  

5. Волны в резонаторах.

6. Возбуждение волноводов заданными источниками.