![]()

Режимы работы линии передачи.

Будут разными относительно Zв и Zн.
1) Режим согласования.
Реализуется при уловии Zв = Zн, Г = 0, Z(z) = Zв (величина не будет зависеть от координат).
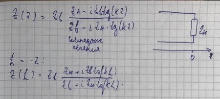
2) Режим короткого замыкания.
Реализуется при условии Zн = 0, Г = -1, Z(z) = -i*Zв*tg(kz)
Z = L:
Z(z) = i*Zв*tg(kL)
3) Режим холостого хода.
Реализуется при условии:

, Г = 1
Z(z) = i*Zв*ctg(kL)
4) Режим чисто реактивной нагрузки.
Реактивная нагрузка:
Не поглощаяет энергию. Отразит волну, но со сдвигом по фазе.
Согласующие устройства.
а) Четвертьволновый трансформатор.

Запишем формулу пересчёта импедансов:



б) Для согласования на нескольких частотах используют одношлейфовые и многошлейфовые трансформаторы.
7.3. Резонаторы, образованные отрезками волноводов.
Резонатор в ВЧ-технике - аналог колебательного контура - пассивный элемент, служащий для усиления сигнала за счёт эффекта резонанса, то есть происходит накопление энергии с нужной фазой мальнькими "толчками". В результате ток и напряжение будут расти, будут формироваться большие сигналы.
Применение:
а) Накопление энергии.
б) Селекция частот.
в) Создание генератора.
Для исследования особенностей и свойств резонатора поставим две задачи:
- Какова будет структура суммарного поля волны типа ТЕ10?
- В какие сечениях этого волновода можно поставить идеально проводящую металлическую пластину так, чтобы не исказить структуру поля?
Подробное решение этих задач рассмотрим в следующей лекции.
Задания для самостоятельной работы по схеме таксономии Блума.
| Знание и понимание |
- Назовите режимы работы линии передач.
|
- Объясните, почему режим согласования считается самым выгодным режимом.
|
| Интеллектуальные навыки |
- Где на практике можно встретиться с режимом короткого замыкания? Чем это может быть опасно?
|
- Подумайте и сопоставьте каждый режим работы линии передач с реальной схемой, которую можно встретить на практике.
|
- Подготовьте небольшой доклад об одном из режимов работы с целью углубить знания.
|
- Оцените эффективность выбранного режима работы, опираясь на материал лекции или другие источники.
|
ПРОЙТИ ТЕСТ
Перейти к следующей лекции