
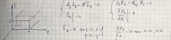
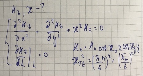
Рассмотрим прямоугольный волновод размерами сечения а и b. Запишем для полей в этом волноводе уравнения Гельмгольца и укажем граничные условия:

Для волны типа ТМ имеем следующие компоненты полей:

Найдём для этой моды поперечное волновое число
.
Распишем первую систему по поперечным координатам и представим продольную компоненту в виде:
Ez = X(x)*Y(y). Используя граничные условия для Ez, найдём компоненты поперечного волнового числа:
где мы определили две константы. Они отвечают за амплитуду волны и могут быть любыми, так как источники не заданы.
Для ТЕ волн поперечное волновое число находится аналогичным образом:

Главный интерес представляют бегущие волны в волноводе.
Какая из мод имеет в прямоугольном волноводе с идеально проводящими стенками наименьшую критическую частоту? (
не равна нулю).
Условие критической частоты: h = 0. Следовательно:
Минимальной критической частоте соответствует минимальное волновое число.
Рассмотрим волновод, в котором бежит волна моды ТЕ10.

Используя уравнения Максвелла, найдём поперечные компоненты магнитного поля:

Получаем:


| Знание и понимание |
|
|
|
| Интеллектуальные навыки |
|
|
|
|
|
|