

Коэффициент возбуждения моды ТЕ10 = ?

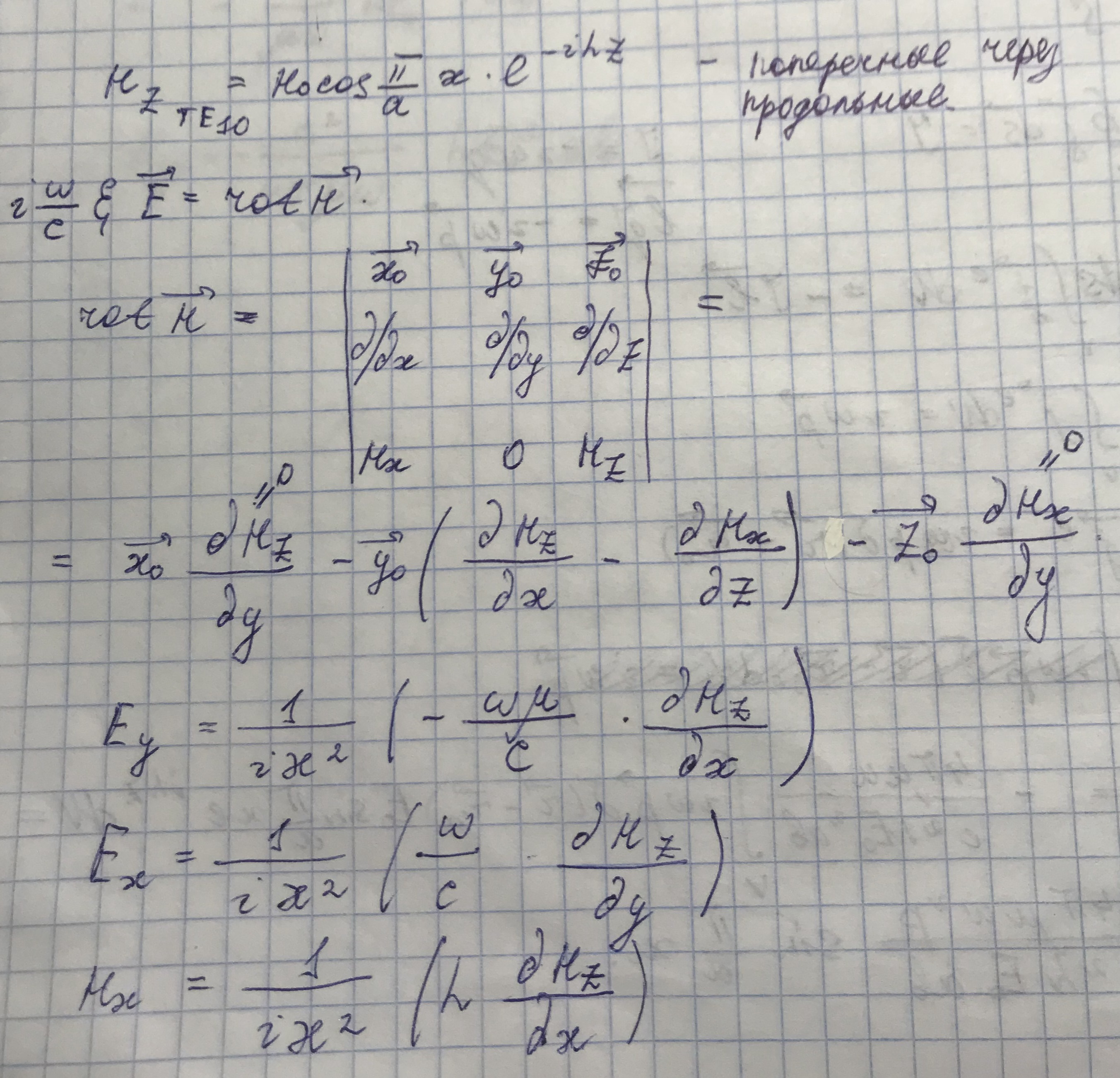
Чтобы рассчитать интеграл, найдём компоненты полей, соответствующие модам р и -р. Воспользуемся уравнением Максвелла:

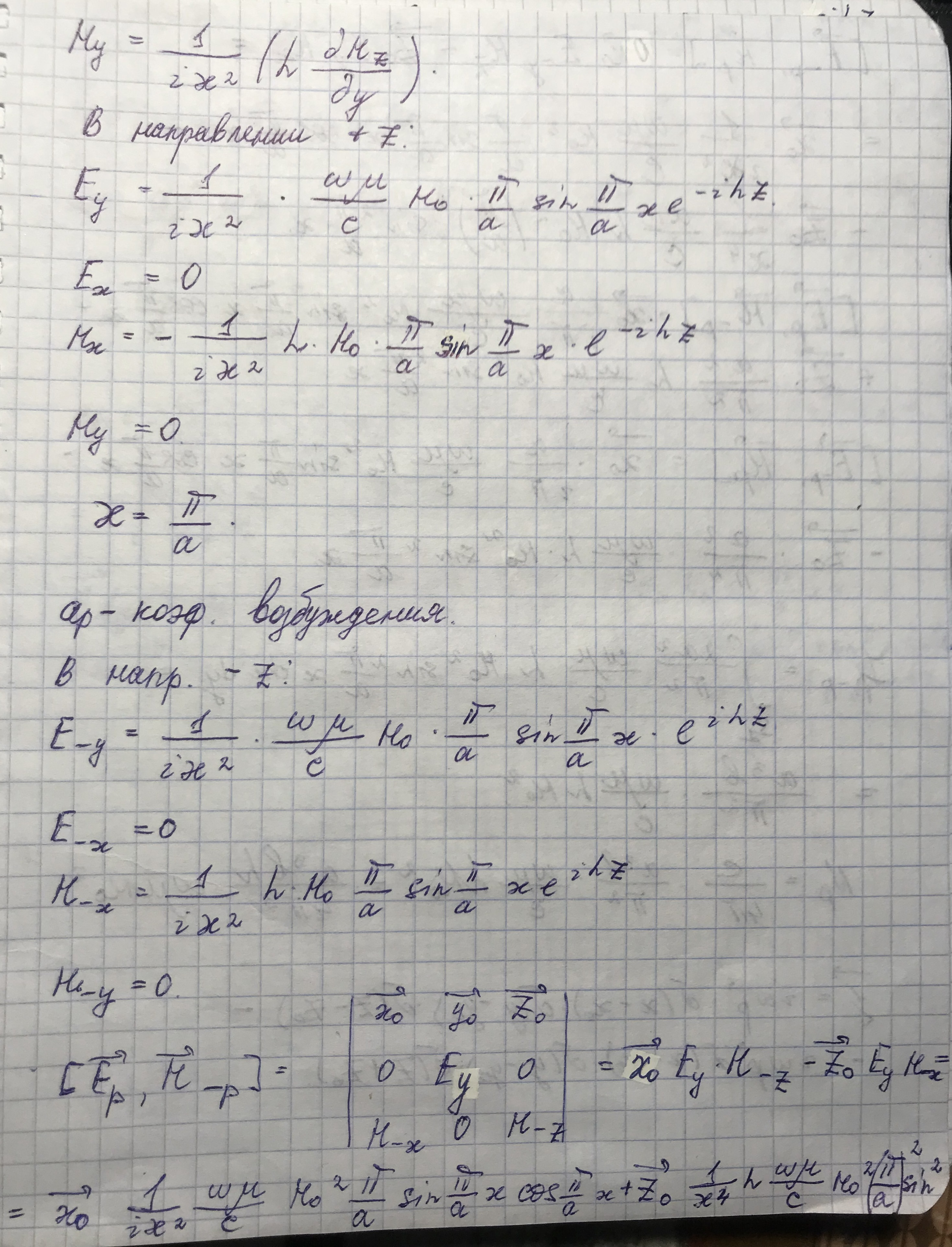
Уравнения, соответствующие моде -р находятся аналогично, h заменяем на -h.
Таким образом, получаем:

Вычислим векторные произведения соответствующих компонент полей, необходимых для рассчета интеграла: Jp,-p.

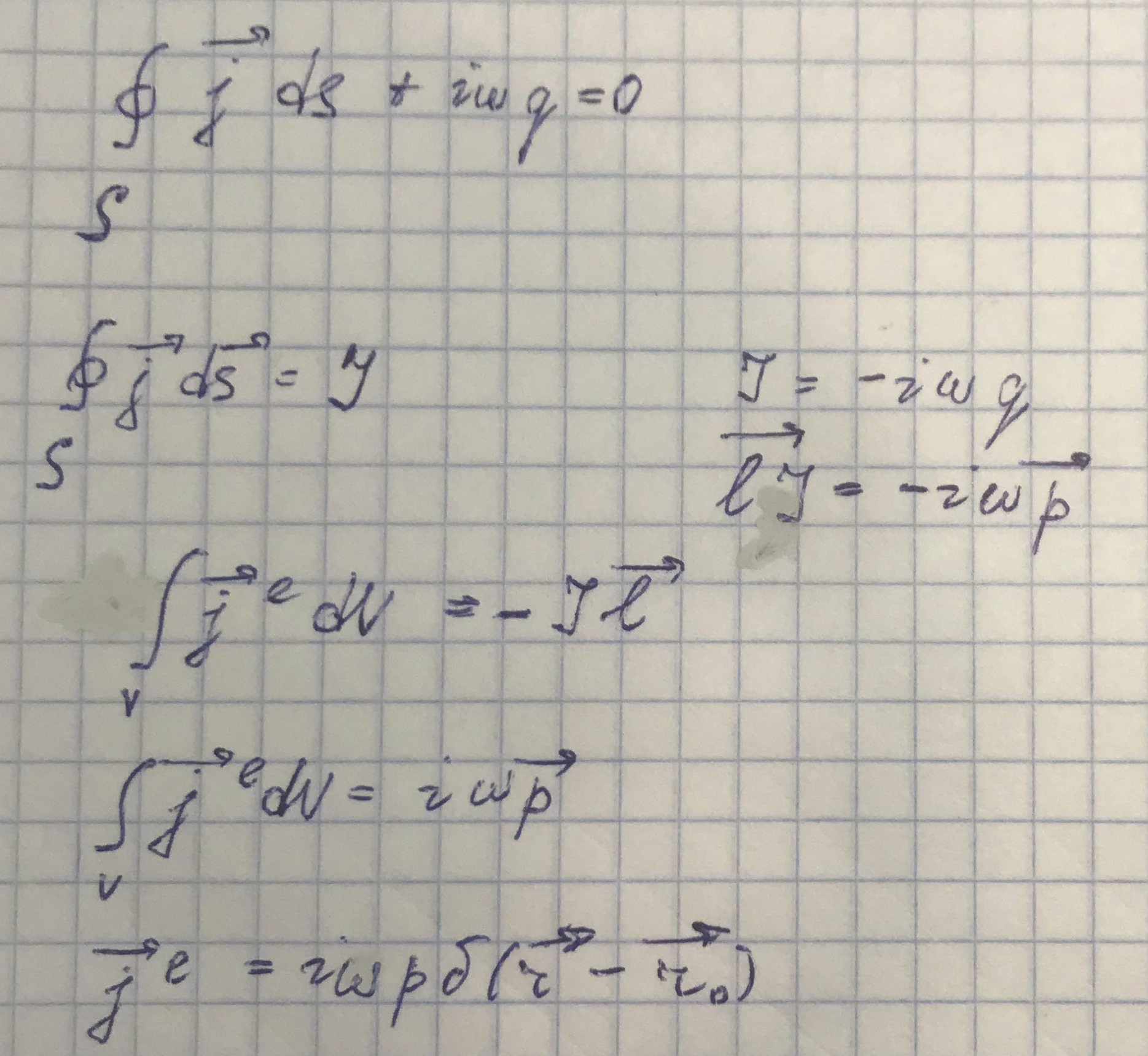
Запишем уравнение для вычисления импульса электрического диполя: 
Применим к одному из положительных зарядов уравнение непрерывности. 
Тогда получим выражение для коэффициента возбуждения ар:

Тогда выражение для возбуждённого электрического поля запишется:

Решим эту эже задачу для моды ТЕ10 с тем отличием, что будем теперь выражать поперечные компоненты через продольные.





| Знание и понимание |
|
|
|
| Интеллектуальные навыки |
|
|
|
|
|
|